农产品加工
Farm Products Processing

设为首页 | 收藏本站

基于正交试验法的中性蛋白酶对冰蛋黄乳化性的影响研究

浏览数:1 
文章附图

基于正交试验法的中性蛋白酶对冰蛋黄乳化性的影响研究


基于正交试验法的中性蛋白酶对

冰蛋黄乳化性的影响研究

作   者


袁培豪 1 ,周佳琛 1 ,张昆林 2 *   王瑞红 1


作者单位


1. 河南科技学院食品学院

2. 河南科技学院机电学院


引用格式


袁培豪,周佳琛,张昆林,.基于正交试验法的中性蛋白酶对冰蛋黄乳化性的影响研究[J].农产品加工,2025,(13):1-4+8.


基金项目


河南省科技攻关项目(232102110162


摘   要


为提高冰蛋黄的乳化性,采用中性蛋白酶对蛋黄进行酶解处理,以中性蛋白酶添加量 、酶解时间及酶解温度为考查因素,以冰蛋黄乳化活性及乳化稳定性为评价指标,并采用三因素三水平正交试验对中性蛋白酶添加量 、酶解时间和酶解温度等 3 个因素进行优化 。结果表明,冰蛋黄乳化活性及乳化稳定性的最佳酶解条件为当蛋黄液用量100 g 时,中性蛋白酶添加量 0.07%,酶解时间 1.5 h,酶解温度 45 ℃,   在最佳酶解条件下冰蛋黄的乳化活性和乳化稳定性分别为 77.52 38.39,综合评分最高为 115.91 分,可为酶解冰蛋黄的应用与开发提供理论依据。


正   文

鸡蛋具有高营养 、易消化 、用途广等特点 , 已成为世界公认的必备优质食品[1] ,其脂肪含量及总热量低,蛋白质吸收利用率高, 被世界各地普遍接受,一定程度上改善了人们的饮食结构 。近年来 , 随着生活水平的提高,   我国食品市场品类逐步丰富 ,鸡蛋产业呈现多样化发展趋势 ,也相继出现液态蛋等新型产品 ,如全液蛋 、蛋清液 、蛋黄液等 。冰蛋是液态蛋加工制品 , 《食品安全国家标准 蛋与蛋制品》 (GB 2749—2015) 中指出, 冰蛋制品是以鲜蛋为原料 ,经去壳 、加工处理 、冷冻等工艺制成的蛋制品,包括冰全蛋 、冰蛋黄 、冰蛋白等,冰蛋产品的出现克服了鲜蛋易碎 、易污染 、难运输和难贮藏等缺点,省去了打蛋 、分蛋及蛋壳处理等环节, 在食品加工中应用率逐渐增加 。蛋黄是鸡蛋的重要组成部分,作为食品类原辅料 , 由于其优良的乳化性而广泛应用于食品的各个领域[2],冰蛋黄是新鲜蛋黄的冷冻产品, 因其保质期长 、体积小 、运输贮藏方便等优点,在食品加工中备受青睐 ; 同时还能够在产蛋量较低时将其投入市场, 以弥补生产鲜蛋的不足 。然而,蛋黄在冷冻条件下会出现一个问题 , 即蛋黄在-6 ℃以下冷冻贮藏时会凝胶化, 导致冰蛋黄失去新鲜蛋黄的流动性, 严重影响其乳化特性, 限制其在食品加工中的应用[3-4] 。 因此 ,如何避免冰蛋黄凝胶化现象、提高其乳化性质是亟需解决的问题。

1   材料与方法

1.1   材料与试剂

新鲜鸡蛋, 市售 ;金龙鱼大豆油 ,益海 (周口)粮油工业有限公司提供 ; 中性蛋白酶, 上海源叶生物科技有限公司提供 ; 十二烷基硫酸钠 (SDS),上海阿拉丁生化科技股份有限公司提供。

1.2   设备与仪器

高速剪切机 ,绍兴谱尔仪器设备有限公司产品;旋涡混合器,天津沃信仪器有限公司产品;SHA-C型水浴恒温振荡器 , 江苏金坛市中大仪器厂产品; 721G 型可见分光光度计 ,上海仪电分析仪器有限公司产品; 冰箱 ,青岛海尔股份有限公司产品。

1.3   试验方法

1.3.1   蛋黄样液制备

市售新鲜鸡蛋经清洗杀菌 、人工破壳后完成鸡蛋的蛋黄蛋清分离 。将蛋黄置于滤纸上 , 轻轻滚动 ,吸去蛋黄膜上附着的蛋清 ,利用挤压作用挑破蛋黄膜 ,将新鲜蛋黄液收集于烧杯中,用玻璃棒缓慢搅拌均匀 ,于 4 ℃下冷藏备用[9]。

1.3.2   蛋黄样品冻融处理

将酶解后的蛋黄样品 35 mL 置于50 mL 的离心管中,于 -18 ℃冰箱中冻藏 12 h, 随后取出, 在室温条件下解冻 4 h 进行蛋黄乳化活性和乳化稳定性的测定, 所有样品只进行一次冻融处理[10]。

1.3.3   冰蛋黄乳化活性及乳化稳定性的测定

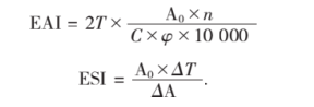
将待测的蛋黄液样品添加一定量的蒸馏水, 室温下机械搅拌 1 min ,制成蛋白质质量浓度为 0.05 g/mL的蛋黄稀释液 。将蛋黄稀释液 20 mL 与大豆油5 mL充分混合,以转速 12 000 r/min 剪切 1 min ,制备乳液;分别在 0 min 和 30 min 时,从底部吸取乳液 20 μL,加入 0.1% SDS 溶液 5 mL ,充分混合均匀[11-12] 。使用紫外分光光度计 ,于波长 500 nm 处测定冰蛋黄样品乳液在 0 min 和 30 min 时的吸光度, 用 SDS 溶液作为空白对照,蛋黄样品的乳化活性 (EAI) 和乳化稳定性(ESI) 计算公式如下:

30.1.png

式中: T2.303;

n—稀释倍数, 100;

C乳化液未形成前蛋白溶液的质量浓度, g/mL;

φ乳化液中油相体积分数,0.2;

A00 min 时吸光度,时间差(30 min)。

1.3.4   酶解工艺对冰蛋黄乳化性的影响

以冻藏 12 h 的冰蛋黄乳化活性和乳化稳定性为评价指标, 利用单因素试验分别控制中性蛋白酶添加量 、酶解时间和酶解温度,   选出合适的变量, 后对冻藏 12 h 的冰蛋黄采用正交试验,进一步对蛋黄的酶解条件进行优化。

1) 中性蛋白酶添加量的确定 。在电子天平上准确称取100g 蛋黄液置于250mL 锥形瓶中,于 50条件下预热30min用千分天平分别称取 0.05%,0.10%,0.15%,0.20%,0.25%W/W)的中性蛋白酶,然后加入到装有100g 蛋黄液的锥形瓶中,标记后进行初步振荡摇匀,摇匀后用保鲜膜将 6 瓶样品封口以防水分蒸发。将锥形瓶置于 50℃水浴恒温振荡器中,振荡反应1.5h。酶解结束后,立刻将锥形瓶放入冷水中进行冷却。随后,将含有不同中性蛋白酶添加量的蛋黄进行冷冻处理,得到冰蛋黄样品后进行乳化性测定。冻融方法见1.3.2,乳化性测定方法见 1.3.3。

2) 酶解时间的确定 。准确称取100g 蛋黄液于250 mL的锥形瓶中,于 50 ℃条件下预热 30 min,然后加入0.10%(W/W)的中性蛋白酶,振荡摇匀,用保鲜膜将其封口,以防水分蒸发。设置酶解时间分别为 0.5,1.0,1.5,2.0,2.5h,完成后立即进行冰水冷却。将不同酶解时间的冰蛋黄样品进行冻融处理和乳化性测定。冻融处理见1.3.2,乳化性测定方法见 1.3.3。

3) 酶解温度的确定 。准确称取 100 g 蛋黄液置于 250 mL 锥形瓶中, 固定中性蛋白酶添加量 0.10%,酶解时间 1.5 h,酶解温度分别设置为 40,45,50, 55,60 ℃,   酶解结束后 ,迅速冷却进行冻融处理,制备不同酶解温度的冰蛋黄样品 ,测定乳化性 。冻融方法见 1.3.2,乳化性测定方法见 1.3.3。

4) 正交试验设计 。在单因素试验的基础上采用正交试验表,以乳化活性为响应值对中性蛋白酶添加量(A)、酶解时间(B)和酶解温度(C 进行优化。

正交试验因素与水平见表 1。

30.2.png

1.3.5   验证试验

对正交试验确定的最佳酶解条件进行验证试验,测定冰蛋黄的乳化活性和乳化稳定性, 进一步得出结论。

1.4   数据处理

指标测试每个样品至少重复 3 次,试验结果表示为平均值±标准偏差 图表由 Origin 2022 软件绘制。

2   结果与分析

2.1    中性蛋白酶添加量对冰蛋黄乳化活性与乳化稳定性的影响

乳化活性(EAI 反映了蛋白质形成并稳定乳状液的能力 ,而乳化稳定性 ESI 反映了乳化剂维持体系稳定的能力, 因此EAIESI 是衡量蛋白质乳化性能的重要指标 。试验在固定酶解温度 50 ℃和酶解时间 1.5 h 的前提下,研究了中性蛋白酶添加量对冰蛋黄乳化活性与乳化稳定性的影响。

中性蛋白酶添加量对冰蛋黄乳化活性和乳化稳定性的影响见图 1。

30.3.png

由图 1 可知,新鲜蛋黄的乳化活性为 71.49,化稳定性为 69.18。经冷冻处理后,未添加中性蛋白酶的冰蛋黄乳化活性和乳化稳定性分别为 58.71 和33.84,相较于新鲜蛋黄显著降低。随着中性蛋白酶添加量的增加,冰蛋黄的乳化活性逐渐降低,但与新鲜蛋黄差异不大;而乳化稳定性逐渐降低,但显著低于新鲜蛋黄。其中,在中性蛋白酶添加量0.10%时,冰蛋黄乳化活性最高,为 77.52。这是因为蛋黄中添加蛋白酶后,底物与酶相结合能完全反应,当继续添加酶后,其并不能与底物结合,当蛋白酶添加量增加后,其乳化性变化不大因此,确定中性蛋白酶添加量为 0.10%。

2.2   酶解时间对冰蛋黄乳化活性与乳化稳定性的影响

当酶添加量与酶解温度固定时,酶解时间也会影响酶的活性。

酶解时间对冰蛋黄乳化活性和乳化稳定性的影响见图2。

22.png

由图 2 可知,在中性蛋白酶添加量为 0.10%, 解温度为 50℃的条件下,酶解时间长短对冰蛋黄乳化活性和乳化稳定性影响不大,但与新鲜蛋黄相比,不同酶解时间下冰蛋黄的乳化稳定性显著降低。其中,当酶解时间为1.0,1.5,2.0h时,冰蛋黄乳化活性分别为 73.93,71.58,72.04;但其乳化稳定性1.5h 达到最高,为 33.43。这可能是因为随着酶解时间增加,酶解引起的蛋白酶解产物多肽长短发生变化,影响了蛋黄的乳化性能随着酶解时间进一步增加,冰蛋黄乳化稳定性无明显变化,说明酶与底物完全结合。综合上述结果,在中性蛋白酶添加量为 0.10%,酶解时间为1.5h 时,冰蛋黄乳化性质最好。因此,确定中性蛋白酶添加量为 0.10%,解时间为1.5 h。

2.3   酶解温度对冰蛋黄乳化活性与乳化稳定性的影响

酶解温度对冰蛋黄乳化活性和乳化稳定性的影响见图 3。

33.png

由图 3 可知,在中性蛋白酶添加量为 0.10%, 解时间为 1.5 h 的条件下,酶解温度增加,冰蛋黄乳化活性与新鲜蛋黄无显著性差异,当酶解温度为 60 ℃时,其乳化活性为 72.45,相较于新鲜蛋黄增加 2.96。

冰蛋黄乳化稳定性呈现先增加后降低的趋势, 当酶解温度为 50℃时,冰蛋黄乳化稳定性为 33.17,著低于新鲜蛋黄的乳化稳定性(69.18)。这是因为酶本身也是一种蛋白质,最适温度范围内,酶活性最强,酶促反应速度最大。高温过高迫使酶发生变性,酶活降低,抑制酶促反应;温度过低,分子运动程度降低,减少了酶与底物碰撞的几率[13] 由试验可知,酶解温度为 50℃时,冰蛋黄的乳化稳定性最高,说明酶在 50℃时,一定程度上改善冰蛋黄的乳化性。因此,确定酶解温度为 50 ℃。

2.4   正交试验结果及分析

根据前期中性蛋白酶酶解改善冰蛋黄液乳化活性和乳化稳定性的试验结果,   选取合适的中性蛋白酶添加量, 探讨其对冰蛋黄乳化性的影响 。采用中性蛋白酶添加量 、酶解时间和酶解温度 3 个因素,进行三因素三水平正交试验,以确定最佳酶解条件。

试验设计以相对最优的中性蛋白酶添加量为0.10%, 酶解时间为1.5h,酶解温度为 50℃的酶解条件下。根据前期在不同中性蛋白酶添加量、酶解时间和酶解温度的酶解条件下得出的乳化活性和乳化稳定性分析结果,选择以 0.07%,0.10%,0.13%为中性蛋白酶添加量水平因素1.25,1.50,1.75 h为酶解时间水平因素以 40,45,50℃为酶解温度水平因素 。用以上酶解条件设计正交试验。

正交试验结果见表 2。

微信图片_20251030154504_17_86.png

由表 2 可知 ,按极差R的大小确定各因素主次顺,其顺序为A>B>C即中性蛋白酶添加量 >酶解时间 > 酶解温度,这说明中性蛋白酶添加量对冰蛋黄乳化性影响最大,其次是酶解时间,最后是酶解温度。出现这一原因主要是中性蛋白酶添加量直接影响冰蛋黄底物的酶解反应,中性蛋白酶添加量过,不能与底物充分结合,使得部分冰蛋黄可能未被酶解,随着中性蛋白酶添加量的增加,中性蛋白酶与冰蛋黄底物结合逐渐趋于充分,反应逐渐趋于完全酶解时间对冰蛋黄乳化性的影响排在其次,由于酶解时间影响着酶解反应,酶解时间不,底物与酶未能充分反应,随着酶解时间的延长,底物与酶逐渐反应直至完全。对应的反应效果为乳化性综合评价先增加后轻微减少;在试验范围内,酶解温度对冰蛋黄乳化性影响最小随着酶解温度的升高,冰蛋黄乳化性指标评价变化不显著,酶解温度对冰蛋黄乳化性影响效果不太显著因此根据表 2可知,最优组合为 A1B2C2 即通过正交试验优化酶解条件后,在试验研究范围内得出的最优反应条件为中性蛋白酶添加量 0.07%,酶解时间1.5h,酶解温度 45 ℃。

2.5   验证试验

按照优化后的最佳酶解条件为中性蛋白酶添加量0.10%, 酶解时间 1.5 h, 酶解温度 50 ℃进行验证试验, 计算得出在该酶解条件下冰蛋黄乳化活性为77.59,与正交试验最佳试验结果 (77.52) 接近。

3   结论

采用中性蛋白酶酶解蛋黄,   旨在改善冷冻后冰蛋黄的凝胶化现象, 提升其乳化性能 。研究表明,中性蛋白酶添加量对冰蛋黄乳化性影响最大 ,其次是酶解时间,最后是酶解温度。

通过改变酶解条件, 包括中性蛋白酶添加量 酶解时间和酶解温度,对冰蛋黄的乳化活性和乳化稳定性进行数据分析 ,取最优添加条件与新鲜蛋黄乳化活性和乳化稳定性相比 ,初步得出中性蛋白酶添加量为 0.04%,酶解时间为 1.5 h,酶解温度为 45 时测得的冰蛋黄综合乳化性较好。

通过正交试验优化酶解条件发现, 当中性蛋白酶添加量为 0.07%, 酶解时间为 1.5 h 酶解温度为 45 ℃时, 其综合评分最高,冰蛋黄乳化活性为77.52,乳化稳定性为 38.39,在此条件下得到的冰蛋黄乳化性最好, 并抑制了冰蛋黄解冻后凝胶化现象的产生。

参考文献

[1]     袁宇涵 ,王岩 ,张亮, 等. 蛋制品加工技术与副产物综合利用研究进展   [J]   .   中国调味品 , 2022 47(10): 192-197.

[2]     赵维高,刘文营 ,韩兆鹏, 等. 冰蛋应用特性研究   [J]   .食品科技 ,2012 ,37(8): 66-69 ,74.

[3]     闫峥蓉 ,赵英 ,迟玉杰. 冻藏期间蛋黄胶凝化现象及成因分析   [J]   . 食品科学 2018 ,39(19): 29-35.

[4]      WANG R,MAY,ZHANGL,etal.Changesineggyolkgelation   behaviour   andmechanisms   during   freezing[ J]    .LWT,2021(151): 112223-112227.

[5]     胡敢 ,董世建 ,李述刚. 水解蛋黄的乳化特性及其在食品中的应用研究进展   [J]   . 食品科学 ,2024 ,45(15): 306-315.

[6]    RUI HGULP,CHANG   CH,etal.Developmentofanoveldual-enzymemodificationmethodforthefunctionalityimprovement   of   egg   yolk   powder   [J]   .FoodBioscience2024(59): 103969-103974.

[7]   高扬. 酶解蛋黄乳化性质及壳聚糖对其稳定性的影响   [D] .

编辑:刘   嘉
审核:关   颖


0351-4606086
登录
登录
回到顶部